Butuh rujukan Permainan dimainkan di dalam ruangan membuatnya olahraga yang. 40 Kaki 12192 Meter.
9 Feet To Meters Converter 9 Ft To M Converter
1 day agoUkuran masing masing spesies juga beragam mulai dari sekitar 1 mm 004 inci hingga lebih dari 15 m 50 kaki.
. 1 Kaki 03048 Meter. Pengaman Sudut Meja Bantal Gulungan 2 Meter Pelindung Sisi Tepi Pinggi. Jarak main suspensi belakangnya hanya 80 mm.
Jakarta Utara Lalulaku 586. Tubuh bongsor Lexi memiliki dimensi panjang 1970 mm lebar 720 mm tinggi 1135 mm dan jarak sumbu rodanya 1350 mm. Menyimpang ke samping melainkan langsung dari dapur magma melalui kepundan tersendiri.
Cacing Pita Sapi Taenia Saginata. 4PCS Alas Kaki Mesin Cuci Universal Anti Slip dan Getaran. Meter persegi adalah ukuran luas dan biasanya digunakan untuk mengukur bidang datar seperti lapangan atau lantai.
10000 Hektar 100000000 Meter persegi. 25000 Kaki 7620 Meter. Berikut tiga cacing pita terpanjang di dunia seperti dilansir dari berbagai sumber.
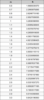
4 Hektar 40000 Meter persegi. Karena merupakan satuan dasar dari panjang dalam SI dan sistem mks. 50 Kaki 1524 Meter.
Sedangkan untuk ukuran terbesar yang pernah dilaporkan adalah mencapai panjang 277 kaki dan berat hingga 500 pon. Ela yang awal di United Kingdom dibahagikan melalui kaedah perduaan menjadi dua. 4 Kaki 12192 Meter.
Dua ela menjadi satu fatomUkuran luas yang sepadan ialah ela persegi. 2500 Hektar 25000000 Meter persegi. 2 Kaki 06096 Meter.
VSAT dalam Bahasa Inggris merupakan singkatan dari Very Small Aperture Terminal adalah stasiun penerima sinyal dari satelit dengan antena penerima berbentuk piringan dengan diameter kurang dari tiga meter. Bekasi PRESIDENT KASUR BUSA. Plateau dataran tinggi yang dibentuk oleh pelamparan leleran lava.
3 Kaki 09144 Meter. 10 Hektar 100000 Meter persegi. 50000 Kaki 15240 Meter.
10 Kaki 3048 Meter. Ground clearance Lexi cukup tinggi 133 mm maka bodi bawahnya tidak mudah mentok saat melewati berbagai medan jalan. 2 Hektar 20000 Meter persegi.
Selain mengeluarkan Benelli Motobi 200 Benelli juga menawarkan Benelli Motobi 200 EVO yang lebih baru dan moderen. Dari beberapa spesies ini terdapat beberapa jenis yang dapat mencapai ukuran fantastis. 30 Kaki 9144 Meter.
Ukuran standar atap stadion lapangan basket internasional yaitu 91 meter dari lantai lapangan. 10000 Kaki 3048 Meter. Bangunan yang berbentuk kubus.
Tangerang MMJ-MAX 1000 Tambah ke Wishlist. Dinding Timur adalah 48 kaki dan 6 inci Dinding Hatim adalah 33 kaki Dinding antara Hajar Aswad dan sudut Yamani adalah 30 kaki Dinding Barat adalah 465 kaki Selepas ini berlaku beberapa pembinaan semula sebelum masa Rasulullah SAW. Anda bisa mengubah satuan meter persegi ke dalam kaki persegi tetapi tidak bisa ke dalam satuan kaki saja.
Buka lebar kedua kaki dengan posisi salah satu kaki berada agak ke depan dibuat senyaman mungkin Condongkan badan sedikit ke depan. Dikutip dari A-Z Animals rata-rata panjang anaconda hijau ini berkisar antara 20 kaki atau sekitar enam meter dan beratnya bisa mencapai 200-300 pon. Sedangkan jarak bangku penonton ke garis tepi lapangan basket yaitu minimal 5 meter.
Syarat-syarat ketentuan kami yang berlaku bisa diakses dengan klik disini. Jangan gunakan perhitungan di bagian ini untuk mengubah satuan panjang. 3 Hektar 30000 Meter persegi.
Bola lantai sangat populer di negara-negara yang telah lama mengembangkan permainan ini seperti Republik Ceko Denmark Estonia Finlandia Latvia Norwegia Swedia dan Swiss. Ukuran bendera sengaja dibuat sepanjang 77 meter menyesuaikan hari jadi yang ke-77. Biasanya terbentuk pada lereng atau kaki gunungapi utama akibat letusan freatik atau freatomagmatik.
Bendera itu diarak mulai dari Monumen Garis Status Quo atau monumen AP III Katjoeng Permadi di Kecamatan Pujon hingga Monumen Palagan Mendalan atau Sudiarto di Kecamatan Ngantang. Lainnya didasarkan sekitar meter kilogram dan sekon meter digunakan untuk menciptakan satuan pengukuran lainnya seperti newton untuk gaya. 5000 Kaki 1524 Meter.
5 Kaki 1524 Meter. 20 Hektar 200000 Meter persegi. Sementara ini setiap upaya telah dikerahkan untuk memastikan keakuratan kalkulator dan tabel satuan metrik yang disediakan situs ini kami tidak bisa menjamin atau bertanggung jawab untuk setiap kesalahan yang dibuat.
Lebar ukuran Kaabah diasaskan oleh Ibrahim adalah seperti berikut. Bola lantai adalah olahraga tim dalam ruangan yang dikembangkan pada tahun 1970-an di Swedia. Green Anaconda disebut sebagai ular terbesar yang hidup dikawasan hutan Amazon.
Butuh waktu sekitar 3 jam untuk mengarak bendera itu dengan berjalan kaki. Kaki-kakinya juga besar dan kekar ukuran 9090-14 inci di depan serta 10090-14 inci di belakang. Meter adalah satuan panjang dalam sistem satuan metrik dan satuan dasar dari panjang dalam Sistem Satuan Internasional SI.
5000 Hektar 50000000 Meter persegi. Satelit berfungsi sebagai penerus sinyal untuk dikirimkan ke titik lainnya di atas bumi. Website ini dimiliki dan dikelola oleh Wight Hat Ltd.
Satu ela ialah unit ukuran Inggeris untuk panjang yang ditakrifkan sebagai tiga 3 kaki tiga puluh enam 36 inci atau 11760 batuSatu ela adalah sama dengan 09144 meter dalam Sistem Unit Ukuran Antarabangsa SI. Fungsi utama dari VSAT adalah untuk menerima dan mengirim data ke satelit. Karena untuk itu diperlukan angka yang.
2500 Kaki 762 Meter. 30 Hektar 300000 Meter persegi. Kasur lipat inoac ukuran 90x200x10.
20 Kaki 6096 Meter. 1 Hektar 10000 Meter persegi. Ukuran puluhan kilometer dengan kedalaman ribuan meter.
Masih di sektor kaki-kaki ban depan menggunakan ukuran 11090-16 sementara ban belakang memakai ukuran 13090-15.
Tiang Pembatas Antrian Stainless Steel Gantungan Produk
Satuan Panjang Inch Kaki Meter Dan Yard
Desain Kos Kosan 4 X 4 M 2 Dengan Warkop Ii Kamar Mandi Dalam Dapur Ruang Tamu Jemuran Youtube In 2022 Desain Mandi Kamar Mandi
Telp Wa 081 3344 15874 Promo Supplier Countertop Meja Mini Bar Marmer Granit Malang In 2022 Meja Dapur
Redwood Curly Pouring Epoxy In 2022 Beautiful Wood Wood Table Woodworking
Mesa De Parota Table Dining Table Decor
Pin By Jill On New House Dining Room Sets 5 Piece Dining Set Room Set
Shop Now On Twitter In 2021 Vlogging Shop Now Tripod
Pin By Perwarni Anggun On Sewing Dasar Dasar Menjahit Pola Jahitan Teknik Menjahit
1 Kaki Berapa Meter Ukuran Dan Satuan Afkgg Com
1 Kaki Berapa Meter Cara Menghitung Konversi Dan Contoh Soal
1 Kaki Berapa Meter Cara Menghitung Rumus Dan Contoh Soalnya
Meter Ke Meter Persegi Wallpaper



